-
[지수와 로그 完] 로그 방정식과 로그 부등식수학/고2 2022. 10. 30. 20:33
로그 방정식 , 부등식도 지수 식 처럼 개념적으로는 크게 설명할 것이 없습니다.
이번엔 대표적인 풀이 방법들과 지수의 변형만 살펴보겠습니다.
1.개념
1)로그방정식
log(x²+3x)=1
→1 = log10 이므로 대입하면
→ log(x²+3x)=log10
∴ x²+3x=10
※이차식의 근 구하기는 주제를 벗어나므로 제외합니다.
2)로그방정식의 성질
①

→ ƒ(x)=g(x)
②

→ a=b 혹은 f(x)=1
3)로그부등식
log₂X+log₂(X-1)≤1
→ log₂X(X-1) ≤ log₂2 (∵ logX + log(X-1)=logX(X-1) , 1 = log₂2)
→ X(X-1) ≤ 2
⒜ -1≤X≤2
⒝ 진수는 0이 될수 없다. → log(X-1) 에서 X>1
∴1<X≤2
4)로그부등식의 성질
① 진수와 밑은 0보다 크며 밑≠1 (지수조건)
② 밑이 0<a<1 일때 양변의 로그 식을 제거하면 부등호가 반전된다.
5)로그의 변형
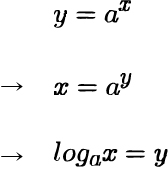
①지수함수→로그함수

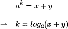
②정수→지수의로그

③지수의로그를 반전

※추가설명
1)①에서 식의 x와 y를 교환하는 이유는 지수함수의 모양이
로그함수와 서로 역함수의 모양을 띄기 때문에 식에서 역함수를 적용한 것입니다.
2)③에서 3의 log₃9 (=2) 제곱은 9 , 9의 log₃3 (=1) 제곱은 9로 서로 같습니다.
2.응용
[확장 지식]
1.로그식과 이차식의 관계
Logₓ4=2 를 지수식으로 변형하면 x² = 4 → x = 2
이경우 로그밑 조건에의해 식x는 양수여야되므로 -2가 될수 없습니다.
2.이중로그의 진수조건
Log(LogX) 일때 LogX 를 A로 치환해본다면
LogA 에서 A>0
A=LogX=0일때 X=1 이므로 X>1가 성립합니다.
[기본]
①

②
log₂(ƒ(x)) = 2
∴ ƒ(x) = 4 (∵ ƒ(x)=2²)
③
log₂(ƒ(x)) = -2
∴ƒ(x) = ¼ (∵ ƒ(x)=2²)
[풀이]
①로그 취하기

※log₃x가 3을 x로 변화시키는 지수를 뜻하니 사실은 이런 과정이 필요없습니다.
예제는 기본적으로 풀이를 하는 정석적인 방법을 설명하고 있습니다.
②t로 치환하기
log₂X=t , t²-2t+1=0
※즉, 예시는 log₂X를 t로 잡으면 근을 구하기 쉬워진다는 뜻입니다.
③Log의 음양확인
x(log2-log3)<-log2
설명을 위해 log2-log3 를 A로 치환해서 Ax<-log2라고 가정하겠습니다.
A는 음수가 되므로 x는 양수입니다. 그러므로 A를 넘기면 부등호가 반전되어
∴ x > -log2/A
※추가설명
이를 다시 집는 이유는 log2-log3=log(2/3) 이기 때문입니다.
식을 이해해본다면 아래와 같습니다.
log₂4 = 2 , -log₂8 = log₂8⁻¹ = log₂⅛ = -3
log₂4-log₂8 = 2-3 = -1
log₂(4/8)= log₂½ = -1
즉 , 로그식은 진수의 분모가 더 크다면 -가 붙지 않더라도 음수라는 것을 알 수 있습니다.
그러므로 진분수 로그의 부등호를 다룰땐 뺄셈으로 치환하거나 이를 고려할 필요가 있습니다.
[테크닉]
①

②
log₂(ƒ(x)) = log₄(ƒ(x))²
[로그식의 실사용]
※주로 상용로그 표나 계산기가 필요합니다. logX값이 몇인지 직접 계산하는건 시간이 필요하기 때문입니다.
연에따라 제곱되는 (이자)로 예정된 (금액)이 될때 까지 걸리는 미지의 년도는 얼마나 걸릴까요?
☆이자가 2% 라고 하고 A가 2배가 될때 까지 걸리는 시간이라 해봅시다.
>n년 후에 원본 A가 B가 될때까지를 식으로 (Ax이자ⁿ)=B 라고 추정할 수 있습니다.
>여기에서 이자가 2% , A는 2배를 생각해보면 A(1+0.02)ⁿ=2A
>식을 정리해서 (1+0.02)ⁿ=2
>상용로그를 취해서 log(1.02)ⁿ=log2
>nlog(1.02)=log2 ※핵심
∴ n = log2/log(1.02) (1.02는 분자가 더 큰 가분수이므로 양수입니다.)
약 35년이 걸립니다.
[지수와 로그] 完
'수학 > 고2' 카테고리의 다른 글
[삼각함수] 삼각비와 삼각함수의 관계 (0) 2022.10.31 [삼각함수] 일반각과 호도법 (0) 2022.10.31 [지수와 로그] 로그 함수 (0) 2022.10.30 [지수와 로그] 지수 방정식과 지수 부등식 (0) 2022.10.29 [지수와 로그] 지수 함수 (증가함수 , 감소함수) (1) 2022.10.29