-
교환법칙 결합법칙 분배법칙수학/중1 2022. 2. 27. 13:08
1.교환법칙

사칙연산중에 숫자의 자리를 바꿔도 항상 결과가 같을 때 교환법칙이 성립한다 라고합니다.

뺄셈은 첫번째 숫자의 자리를 바꾸지 않는다면 교환법칙이 성립합니다.

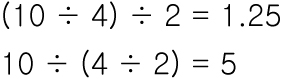
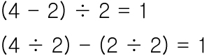
나눗셈도 첫번째 숫자의 자리를 바꾸지 않는다면 교환법칙이 성립합니다.
그러나 첫번째 숫자를 바꿀경우 교환법칙은 성립하지 않습니다.

곱셈의 교환법칙은 언제나 성립합니다.
2.결합법칙

괄호를 묶어서 계산해도 값이 같을 때 결합법칙이 성립한다 라고 합니다.

뺄셈은 결합법칙이 성립하지 않습니다.

곱셈은 언제나 결합법칙이 성립합니다.

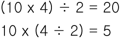
나눗셈은 결합법칙이 성립하지 않습니다.

곱 과 나눔 / 합 과 차 간에는 결합법칙이 성립하지 않습니다.
3.분배법칙

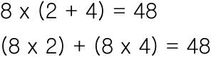
괄호 밖에있는 곱/나눔을 괄호 안에 적용한뒤 계산해도 값이 같을때 분배법칙이 성립한다 라고 합니다.

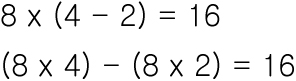
괄호안의 내용물이 뺄셈일 때도 이 법칙은 성립합니다.

분배법칙을 나눗셈에 적용할때는 나눗셈이 뒤로 와야 적용할 수 있습니다.

분배법칙은 괄호안의 내용물이 덧셈이나 뺄셈이 아니면 성립하지 않습니다.

위의 예제 처럼 분배법칙은 역으로 숫자를 묶어서 사용할 때 사용할 수도 있습니다.
4.특수한 경우

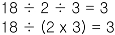
나눗셈이 연속될때, 괄호를 묶음으로써 나눗셈을 곱셈으로 바꿀 수 있습니다.
이에 대한 이유는 초등과정의 '분수의 나누기' 과정에 있습니다.
'수학 > 중1' 카테고리의 다른 글
미지수와 식 (0) 2022.02.27 여러가지 숫자의 종류 (0) 2022.02.27 중1과정에서 배우는 기타 항목들(1) (0) 2022.02.27 시계방향 반시계방향(short) (0) 2022.02.27 섭씨 화씨(short) (0) 2022.02.27