ABOUT ME

Today
Yesterday
Total
  • [수열] 시그마의 성질
    수학/고2 2022. 11. 6. 20:14

     

    앞으로 눈을 즐겁게할 개념인 시그마가 등장했습니다.

     

    진도에 들어가기 앞서서 작자의 시그마 작성 규칙 몇가지를 설명합니다.

     

    1.범위가 1부터 n까지 일경우 이를 따로 표기하지 않습니다.

    2.시그마의 기준이 되는 기호를 기본적으로는 k 라고 가정합니다.

    3.범위가 위와 다를 경우 (1~10) 으로 표기합니다.

    4.k 외의 기호가 추가로 필요할경우 (l :) 라고 표기합니다.

    5.범위와 기호가 모두 표기가 필요할때 (l : 1~10) 라고 표기합니다. 

    6.문맥상 범위와 기호를 추정할수 있을때 (기호:범위) 없이 표기할 수도 있습니다.

     

    이 후의 글에서 시그마가 사용될 경우 이를 접은 글로 표기해 두겠습니다.

    !위의 사용법이 수학적으로 맞는 표현 방법은 아니므로 주의해 주시길 바랍니다!


     1.개념

    1.정의

    k에 시작의 숫자 1 부터 n 까지의 숫자를 순서대로 대입한 모든 숫자들의 합을 의미합니다.

    앞서서 배운 항의합 개념을 간편하게 쓰기 위해서 존재하는 기호입니다.

     


    2.예시

     

     

    k+1에서 k에 1을 대입하면 2가 됩니다. 그 숫자에 k+2에서 2를 대입한숫자인 3을 더합니다.

    이를 k=3이 될때까지 (3포함) 반복합니다.

     


    3.성질

     

    ∑Ak + ∑Bk = ∑(Ak+Bk)

     

    ∑CAk = C∑Ak

     

    ∑4 = 4n (즉, k가없이 상수4만 n번 더합니다.)

     


    4.공식

     

    일일히 전부 더하는 것은 시간적으로 불가능하기 때문에 대신 정리된 공식들을 사용합니다.

    이를 응용해서 ∑(ak²+bk+c) 는 a∑k²+b∑k+∑c 로 분리해서 계산합니다.

     

    ∑(2k-1) = n²

     

    ∑k = n(n+1)/2

     

    ∑k² = n(n+1)(2n+1)/6

     

    ∑k³ = {n(n+1)/2}²

     

    ∑k(k+1) = n(k+1)(k+2)/3 , 

     

    ∑k(k+1)(k+2) = n(k+1)(k+2)(k+3)/4

     

    40 + ∑(1~10)ƒ(x) = ∑{ƒ(x)+4}

     


    2.응용

     

    [확장 지식]

     

    1.시그마 일반항은 Sn

    등비수열합은 ∑(n:)a₁rⁿ⁻¹ 로 표현할 수 있습니다.

     

     

    2.인수끼리의 등차

     

     

    2와5의 공차에의한 일반항은 3n-1 ,

    5와8의 공차에의한 일반항은 3n+2

    이를 시그마로 나타내면 ∑(n:){1/(3n-1)(3n+2)} 로 표현됩니다.

     

     

    3.항의 합수열과 시그마의 표현의 해석

    ∑(2~n)2k - ∑(1~n-1)2k (n≥2)일때

    등차수열의 일반항은 A=2n 입니다.

    n=2이면 빨간시그마 에서 의 값은 a₂와 같을 것입니다.

    n=3일때 파란시그마 에서 의 값은 a₁+a₂ 이므로 S₂와 같을 것입니다.

    n=2일때 위의 식은 a₂-a₁ 이므로 공차를 의미합니다.

     

     

    4.k 와 l 의 식과 범위가 같다면 l=k

    ∑(1~5)k 나 ∑(l:1~5)l 이나 {1+2+3+4+5}로 같은 값이므로

    이때 l=k로 취급해서 2∑(1~5)k로 취급해도 됩니다.

     


    [풀이]

     

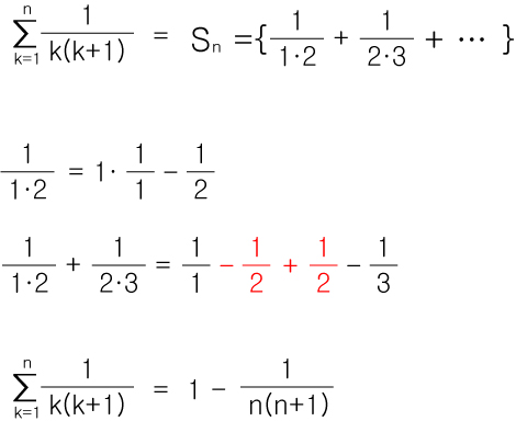
    1.역수 합의 정리

     

     

    부분분수에 의해 1/2*3 = 1/2-1/3 가반복되어 +n-n=0로 양끝의 1-1/n만 남게 됩니다.

    이를 시그마 수준에서 정리하면 다음과 같습니다.

     

     

    1-2.분수정리

    ∑1/(2k)(2k+2) = ∑1/{4(k)(k+1)} = ¼∑1/k(k+1) 

     


    [테크닉]

    ※일부 아래첨자는 주황색으로 표시했습니다.

     

    {a₂+a₃…an} - {1+a₂+a₃+(an-1)} = k-1

     

     ∑k + ∑(l:1~n-1)l = 2∑(1~n-1)k+n

     

     

     

    '수학 > 고2' 카테고리의 다른 글

    댓글

개발에 관심을 가지는 블로그