삼차함수와 오메가
본 과목은 고1 과정에서 얕게 배우는 삼차방정식에 대한 내용들을 모았습니다.
+2022-11-28 빠진 설명을 보충, 문맥 정리
1.x³=1
1)오메가ω

오메가란 x³-1 혹은 x³+1을 인수분한 뒤 나온 이차식을 근의 공식으로 분해한 허근 입니다.
ω의 켤레근인 -√3i 와 +√3i 에서 둘다 ω³=1 을 만족하는 특별한 특성을 지니고 있습니다.
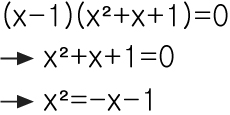
(x²+x+1)를 0으로 만드는 근이므로 x=ω 일때
(x-1)은 0을 만족하지 않지만 (x²+x+1)에서 0을 만족합니다.
2)ω의 성질

x³+1 의 ω 에서 ⑤의 값은 -1이 아닌 1이 됩니다.
2.삼차함수의 근과 계수
1)중근

근이 1개가 되면 중근이라고 학습했다면
다소 혼란이 일어날수 있어 다시 설명합니다.
중복되는 근을 중근 이라고 합니다.
삼차함수가 (x-1)³ 과 같이 하나의 근을 지니고 있다면
이때는 삼중근 이라고 하며 모든 근이 일치한다 라고 표현합니다.
만약에 삼차함수와 이차함수의 근이 일치한다는 표현이 있다면
이는 삼차함수에 중근이 존재한다고 해석해야합니다.
이경우에 만약 이차함수가 중근이라면 삼차함수는 삼중근이 될 것입니다.
서로 근이 같은 삼차함수와 이차함수를 나눠보면

3차식에서 중근에 해당하는 인수가 남습니다.
2)근과 계수의 관계
삼차함수의 근과 계수의 관계는 인수분해에서 외웠던 (x-m)(x-n)(x-l)를 기준으로 합니다.
삼차함수를 x³+ax²+bx+c 라고 한다면 근과 계수의 관계는 아래와 같습니다.
| a | -(m+n+l) |
| b | mn+nl+lm |
| c | -(mnl) |
삼차 인수분해 공식중에
x³+y³+z³ = (x+y+z)(x²+y²+z²-xy-yz-zx)+3xyz에
상술한 요소들이 전부 들어있기 때문에 위의 인수분해도 같이 외워두는 것이 좋습니다.
3.그래프
1)그래프의 개형
자세한 그래프 모양을 그리는 방법은 고2 과정에서 다루고 있습니다.
현재의 과정은 대략적인 그래프의 모양을 알아보는 것을 목표로합니다.

삼차함수가 y=ax³ 일때 (2차식 이하의 항이 존재하지 않는다면)
a=1 에서 (1,1),(-1,-1) 좌표를 지나며
a=2 에서 (1,2),(-1,-2) 좌표를 지납니다.
즉 , x³의 계수가 높을 수록 그래프는 더욱 가파른 모양이 됩니다.
기울기가 양수일때 올라가는 모양을 증가 함수 라고합니다.

반대로 기울기가 음수일경우 감소 함수 라고 합니다.

삼차함수에 x²항이 존재한다면 그 모양은 위아래로 파인 모양을 지니며
이때 그래프 중심의 위치는 원점을 벗어납니다.
2)그래프 특성
⑴

3차방정식도 이차방정식과 마찬가지로 2(x-1)³+2의 완전 제곱식으로 변형되어 사용될 수 있습니다.
이때 예시의 3차방정식은 기울기가 2이며 (1,2)좌표에 중심이 존재하는 그래프가 됩니다.
⑵

3차방정식은 모든 1차방정식 직선 그래프와 교점을 지니고 있습니다.
4.응용
A1)오메가 식의 변형

x³-1혹은 x³+1 의 근은 ω로 표현하는 것 외에도
지수를 높히고 낮추는 대입식을 구할 때도 사용 가능합니다.
A2)삼차함수의 근과 계수 예제

삼차함수가 지닌 인수 1개를 토대로 미지수를 파악하는 내용입니다.